Computer Science

  • 12. Who is most often attributed with the invention of Binary Code?

    Who:Gottfried Leibniz
    What: In 1701 published his paper “Essay d'une nouvelle science des nombres” detailed Binary as well as binary math.
    When: 1701
    Why? Binary became an instrumental part of computers as well as programming.
    Sources:
    -From Canvas
    -Cut the Knot
    -Computing History
  • 2. What does a loom have to do with CS history?

    2. What does a loom have to do with CS history?

    Who: Joseph Marie Jacquard
    What: Jacquard Loom
    When: First shown in 1801
    Why ? Charles Babbage cited by the Jacquard in creating the punch card system for early computers.
    Sources:
    -From Canvas -Science and Industry Museum -History Computer
  • 8. Did the Difference Engine ever work?

    Who: Charles Babbage
    What: Difference Engine
    When: 1832
    Why? There was a working prototype of the Difference Engine that ran out of funding led to the Analytical Engine which created the CPU as well as Memory which would be used to this day.
    Sources:
    -How Stuff Works
    -CHM
    -Britannica
  • 3. Who is  Ada Lovelace?

    3. Who is Ada Lovelace?

    Who: Ada Lovelace
    What: Earliest complete written program.
    When: 1843
    Why is this important in the history of CS? First computer programmer.
    Sources:
    -From canvas
    -Britanica
    -CHM
  • 7. What was the Hollerith Machine?

    Who: Herman Hollerith
    What: Hollerith Tabulating Machine
    When: 1888
    Why? The tabulating machines helped with punch cards where electricity helped read the holes on the card.
    Sources:
    -Smithsonian
    -IBM
    -Computer Hope
  • 4. Why did transistors replace the vacuum tube?

    Who: William Shockley, John Bardeen, Walter Brattain
    What: Invention of Transistors
    When:1947
    Why? It helped make computers smaller, cheaper, and able to run cooler. Overall made computers more accessible
    -From Canvas
    -Computer History
    -BBVA
  • 9. What computer is patented as the first computer?

    Who: J. Presper Eckert, John W. Mauchly
    What: ENIAC started a patent trial.
    When: 1947
    Why? This became important because the computer itself did not end up being patented which allowed for more competition and advancements.
    Sources:
    -From Canvas
    -Penn Libraries
    -Smithonian
  • 6. What is a stored program computer?

    Who: Freddy Williams, Tom Kilburn
    What: Manchester Baby
    When: June 21, 1948
    Why? Stored Program helped store the instructions to help simplify computer usage.
    Sources:
    -From Canvas
    -Gimtec
    -Science Direct
  • 11. Why was ASCII invented?

    Who: President Lyndon B. Johnson
    What: There were several different representations of characters rather than a unified version.
    When: 3/11/1968
    Why? ASCII allowed for computers to community with each other without having to translate.
    Sources:
    -From Canvas
    -IONOS
    -Computer Hope
  • 10. Was hypertext ever used before the internet?

    Who: Douglas Engelbart
    What: Hypertext History
    When: Dec 9, 1968
    Why? This was a demonstration that showed several different things that would become staples while using hypertext links to navigate his presentation.
    Sources:
    -From Canvas
    -HC
    -History of Information
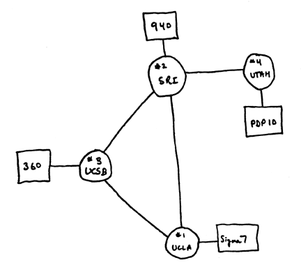
  • 1. What did UoU have to do with the history of the Internet?

    1. What did UoU have to do with the history of the Internet?

    Who: U of U
    What: Became the 4th Node of ARPANET
    When: Dec 5, 1969
    Why is this important in the history of CS? ARPANET was a precursor to the Internet today.
    Sources:
    -From Canvas -SLTrib -Ionos
  • 13. When was the first 3D movie created?

    Who: Edwin Catmull
    What: First 3D generated movie was created.
    When: 1972
    Why? This not only led to more 3D generated films, but Edwin would go on to found Pixar.
    Sources:
    -History of Information
    -Nerd Plus Art
    -Digital Trends
  • 14. What was the first drawing tablet?

    Who: Dr. David Thornburg
    What: Koala Pad
    When: 1983
    Why? Pen tablets helped make computers more useful for creative professions, leading all the way to Apple and Android tablets that did not need a desktop or laptop to draw on.
    Sources:
    -Computer Hope
    -WikiFox
    -Old Computr
  • 5. When were web browsers first used?

    Who: Tim Berners-Lee
    What: WorldWideWeb/Nexus was created.
    When: 1990
    Why? Helped make the web become more user friendly and expand functionality.
    Sources:
    -From Canvas
    -InternetAdvisor
    -Digital Information World