Werner Heisenberg - Physicist

  • Period: to

    Lifespan

    Born December 5th, 1901 in Wurzburg, Germany.
    Died February 1st, 1976 in Munich, West Germany.
    (The Nobel Prize in physics 1932)
  • Quantum Mechanics

    First publication of Heisenberg's proposed theory that stated that measurements such as position and velocity should use matrix equations and not ordinary numbers because atomic behavior cannot be observed. (The Nobel Prize in physics 1932)
  • Uncertainty Principle

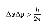
    Uncertainty Principle

    In 1927, Heisenberg presented a theory which was named the Uncertainty Principle. The theory stated that both momentum and position cannot be measured simultaneously. As measurement of position is more accurate, velocity is more uncertain and as velocity is measured more accurately, locating the position becomes more uncertain. This principle was the framework for quantum mechanics. (Encyclopedia Britannica)
    Uncertainty Principle explained, https://youtu.be/TQKELOE9eY4
  • Awarded Nobel Prize

    In 1932, Heisenberg was awarded the Nobel Prize for his contribution to quantum theory by providing a tangible mathematical equation for quantum mechanics. This offered an explanation for behaviors, observable and non-observable, within atoms. The principle also made way for understanding of time and energy by use of a formula since it became acceptable to view particle/wave position and momentum separately and relevantly. (Hilgevoord and Uffink)
  • German Atomic Bomb Project

    Developed in 1939. A German project focused on the development and construction of atomic weapons. Heisenberg was one of the original and lead members. (German atomic bomb project)
  • Period: to

    The Manhattan Project's Alsos Mission

    Heisenberg, along with other German scientists, are taken into custody by the United States. The were kept at Farm Hall so information could be found out about the German Atomic Program. Following WW2 and the determination of no significant German threat when it came to their ability to construct an atomic bomb, Heisenberg was released. (Werner Heisenberg)